2026 유기화학 기출문제집 정답 및 수정사항- 업데이트중
6장 7번

7장 48번

7장 52번

8장 45번

8장 65번

9장 11번

9장 21번

12장 1번

1장 결합과 구조
1 | 2 | 3 | 4 | 5 | 6 | 7 | 8 | 9 | 10 |
⑤ | ② | ① | A,C, F,G | ④ | ⑦ | ① | ⑦ | ② | ① |
11 | 12 | 13 | 14 | 15 | 16 | 17 | 18 | 19 | 20 |
⑤ | ③ | ③ | ③ | ⑤ |
| ③ | ③ | ② | ② |
21 | 22 | 23 | 24 | 25 | 26 | 27 | 28 | 29 | 30 |
③ | ③ | ⑦ | ② | ② | ① | ⑤ | ② | ② | ① |
31 | 32 |
|
|
|
|
|
|
|
|
④ | ④ |
|
|
|
|
|
|
|
|
16번: 1: sp2, 2: sp2, 3: sp2
2장 산과 염기
1 | 2 | 3 | 4 | 5 | 6 | 7 | 8 | 9 | 10 |
② | ② | ⑤ | ⑤ | ⑤ | ② | ④ | ② | ② |
|
11 | 12 | 13 | 14 | 15 | 16 | 17 | 18 | 19 | 20 |
② | ③ | ① | ② | ② | ④ | ⑤ | ② | ⑤ | ② |
21 | 22 | 23 | 24 | 25 | 26 | 27 | 28 | 29 | 30 |
① | ② | ⑤ | ③ | ⑤ | ① | ⑤ | ② | ④ | ② |
31 | 32 | 33 | 34 | 35 | 36 | 37 | 38 |
|
|
④ |
| ④ | ② | ② | ④ | ③ | ⑤ |
|
|
10번:

32번: (가) 알코올 (나) 케톤 (다) 에터 (라) 알데하이드
3장 알케인과 사이클로알케인
1 | 2 | 3 | 4 | 5 | 6 | 7 | 8 | 9 | 10 |
② | ③ | ⑤ | ④ | ② |
| 35% | ④ | ② | ③ |
11 | 12 | 13 | 14 | 15 | 16 | 17 | 18 | 19 | 20 |
⑦ | ① | ③ | ④ | ③ | ② | ⑥ | ⑦ | ① | ④ |
21 | 22 | 23 |
|
|
|
|
|
|
|
⑤ | ② | ⑦ |
|
|
|
|
|
|
|
6번:

4장 입체화학
1 | 2 | 3 | 4 | 5 | 6 | 7 | 8 | 9 | 10 |
④ | ④ | ⑤ | 가,다,라 | ④ | ④ | ⑤ | ④ | ④ | ① |
11 | 12 | 13 | 14 | 15 | 16 | 17 | 18 | 19 | 20 |
⑥ | ③ | ⑤ |
| ⑤ | ② |
| ② | ③ | ① |
21 | 22 | 23 | 24 | 25 | 26 | 27 | 28 | 29 | 30 |
③ | ② | ⑦ | ② |
| ④ | ① | ② | ③ | ① |
31 | 32 | 33 |
|
|
|
|
|
|
|
② | ① | ① |
|
|
|
|
|
|
|
14번: (a) 5개, (b) 32개
17번:

붉은색 탄소: sp2, 연두색 탄소: sp, 핑크색 질소: sp, 나머지 탄소 sp3
25번:
5장 할로젠화 알킬
1 | 2 | 3 | 4 | 5 | 6 | 7 | 8 | 9 | 10 |
③ | ⑤ | ⑥ | ④ | ② | ② | ⑤ | ③ | ⑤ | ① |
11 | 12 | 13 | 14 | 15 | 16 | 17 | 18 | 19 | 20 |
① | ⑥ |
| ③ | ⑤ | ⑤ | ④ | ② | ④ | ③ |
21 | 22 | 23 | 24 | 25 |
|
|
|
|
|
⑦ | ⑤ | ③ | ③ | ② |
|
|
|
|
|
13번:
안티 베타 수소 제거를 통해 주생성물이 얻어진다.
6장 알코올과 에터
1 | 2 | 3 | 4 | 5 | 6 | 7 | 8 | 9 | 10 |
| ④ | ② | ③ | ④ | ② | ① | ③ | ③ | ③ |
11 | 12 | 13 | 14 | 15 | 16 | 17 | 18 | 19 | 20 |
④ | ③ |
| ⑤ | ② | ⑤ | ② | ⑤ | ⑤ | ④ |
1번

13번
7장 알켄, 알카인, 비편재화파이계
1 | 2 | 3 | 4 | 5 | 6 | 7 | 8 | 9 | 10 |
18 | ① | ② | ③ | ④ | ⑤ | ⑤ | ① | ④ | ③ |
11 | 12 | 13 | 14 | 15 | 16 | 17 | 18 | 19 | 20 |
③ | ③ | ① | ⑦ | ③ | ⑤ | ④ | ⑤ | ⑦ | · |
21 | 22 | 23 | 24 | 25 | 26 | 27 | 28 | 29 | 30 |
④ | ① | ③ | ② | ④ | ② | ⑦ | · | ③ | ③ |
31 | 32 | 33 | 34 | 35 | 36 | 37 | 38 | 39 | 40 |
④ | ② | ① | ② | ⑤ | 7개 | ③ | ② | ④ | ② |
41 | 42 | 43 | 44 | 45 | 46 | 47 | 48 | 49 | 50 |
③ | ③ | ⑤ | ⑤ | ④ | ③ | ③ | ⑤ | ③ | ④ |
51 | 52 | 53 | 54 | 55 | 56 | 57 | 58 | 59 | 60 |
⑦ | ③ | ③ | ② | ⑤ | ④ | ⑤ | ⑤ | ⑤ | ② |
61 | 62 | 63 | 64 | 65 | 66 | 67 | 68 | 69 | 70 |
③ | ② | ④ | ① | ① | ① | ① | ② | ① | ② |
71 | 72 | 73 | 74 |
|
|
|
|
|
|
② | ③ | ④ | ② |
|
|
|
|
|
|
20번 가,나, 다, 라 모두 올바른 작용기 변환 그러므로 보기에 정답이 없음.
28번 A: CH3CH2CN, B: CH3CH2NH2
8장 방향족화합물
1 | 2 | 3 | 4 | 5 | 6 | 7 | 8 | 9 | 10 |
① | ③ | ③ | ④ | ⑤ | ④ | ⑤ | ⑤ | ① | ③ |
11 | 12 | 13 | 14 | 15 | 16 | 17 | 18 | 19 | 20 |
④ | ④ | ⑦ | ③ | ① | ④ | ① | ⑤ | ① | ② |
21 | 22 | 23 | 24 | 25 | 26 | 27 | 28 | 29 | 30 |
⑤ | ⑤ | ⑤ | ⑦ | ③ | ④ | ⑤ | ① | ② | ② |
31 | 32 | 33 | 34 | 35 | 36 | 37 | 38 | 39 | 40 |
② | ⑤ | ⑤ | ⑦ | ⑥ | ② | ④ | ① | ⑤ | ④ |
41 | 42 | 43 | 44 | 45 | 46 | 47 | 48 | 49 | 50 |
① | ④ | ③ | ⑤ | ⑤ | ⑥ | · | ① | ② | ③ |
51 | 52 | 53 | 54 | 55 | 56 | 57 | 58 | 59 | 60 |
② | ⑤ | ④ | ⑤ | ⑤ | ① | ③ | ② | ② | ④ |
61 | 62 | 63 | 64 | 65 | 66 |
|
|
|
|
② | ② | ② | ② | ③ | ③ |
|
|
|
|
9장 알데하이드와 케톤
1 | 2 | 3 | 4 | 5 | 6 | 7 | 8 | 9 | 10 |
① | ③ | ④ | ③ | ④ | ① | ③ | ③ | · | ④ |
11 | 12 | 13 | 14 | 15 | 16 | 17 | 18 | 19 | 20 |
⑤ | ⑤ | ① | ① | ④ | · | ① | ⑤ | ③ | ① |
21 | 22 | 23 | 24 | 25 | 26 |
|
|
|
|
④ | · | ② | ④ | ② | ③ |
|
|
|
|
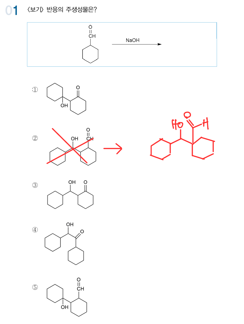
47번

9장 알데하이드와 케톤
1 | 2 | 3 | 4 | 5 | 6 | 7 | 8 | 9 | 10 |
① | ③ | ④ | ③ | ④ | ① | ③ | ③ | · | ④ |
11 | 12 | 13 | 14 | 15 | 16 | 17 | 18 | 19 | 20 |
⑤ | ⑤ | ① | ① | ④ | · | ① | ⑤ | ③ | ① |
21 | 22 | 23 | 24 | 25 | 26 |
|
|
|
|
④ | · | ② | ④ | ② | ③ |
|
|
|
|
9번

16번

22번

10장 카복실산 유도체
1 | 2 | 3 | 4 | 5 | 6 | 7 | 8 | 9 | 10 |
⑤ | ⑤ | ④ | ③ | ② | ④ | ⑤ | ② | ③ | ② |
11 | 12 | 13 | 14 | 15 |
|
|
|
|
|
· | ② | ① | ④ | ③ |
|
|
|
|
|
11번

11장 카보닐 알파치환 반응
1 | 2 | 3 | 4 | 5 | 6 | 7 | 8 | 9 | 10 |
ㄱ | ① | ③ | ① | ③ | ⑤ | · | ③ | · | · |
11 | 12 | 13 | 14 | 15 | 16 | 17 |
|
|
|
③ | ③ | ① | ⑤ | ④ | ④ | ② |
|
|
|
7번

9번
10번

